43 contoh proposal bantuan dana pembangunan masjid doc
Contoh proposal pembangunan masjid doc. Bila para pengurus masjid tidak ingin membuat proposal dari awal, maka bisa mengunduh file proposal dibawah ini dalam format doc yang bisa diedit dan disesuaikan dengan kebutuhan masing masing. Kamu juga bisa mendownload file word dari proposal diatas dengan mengklik link disini. Contoh Proposal Bantuan Dana Pembangunan Masjid - Contoh Proposal Pengajuan Bantuan - Pembangunan masjid dan sarana ibadah lainnya. 11 Okt, 2021 Posting Komentar Kami pengurus dkm masjid jamiq baiturruhama desa labulia kecamatan jonggat kabupaten lombok tengah, dengan hormat mengajukan proposal permohonan bantuan dana .
Contoh surat permohonan dana pembangunan mesjid. 1 satu buah proposal. Adapun proposal bantuan dana terdapat sebuah surat pengantar proposal yakni surat permohonan bantuan dana dan proposal tersebut tersemat sebagai. Sebuah pembangunan yang ada di sekitar kita tidak lepas dengan namanya dana.

Contoh proposal bantuan dana pembangunan masjid doc
Adapun biaya yang dibutuhkan untuk Pembangunan Masjid yaitu sebesar ± Rp 1.055.734.000.00,- (Satu milyard Lima puluh lima juta Tujuh ratus tiga puluh empat ribu rupiah ), sementara dana dari masyarakat yang telah terkumpul adalah sebesar Rp 150.378.000.00,- (Seratus lima puluh juta Tiga ratus tujuh puluh delapan ribu rupiah ), Itulah yang dapat admin bagikan mengenai contoh proposal bantuan dana pembangunan kubah masjid. Admin blog Berbagi Contoh Proposal 2019 juga mengumpulkan gambar-gambar lainnya terkait contoh proposal bantuan dana pembangunan kubah masjid dibawah ini. Itulah yang dapat kami bagikan terkait contoh surat permohonan bantuan dana pembangunan masjid doc. Admin blog Contoh Soal Terbaru 01 January 2019 juga mengumpulkan gambar-gambar lainnya terkait contoh surat permohonan bantuan dana pembangunan masjid doc dibawah ini.
Contoh proposal bantuan dana pembangunan masjid doc. Contoh Proposal Mushola Dan Rab / Doc Proposal Panitia Pembangunan Masjid Nurul Akmal Tahun 2018 Oleh Panitia Pembangunan Masjid Nurul Akmal Wayan Suteja Academia Edu : Setelah anda mengunduh file contoh proposal pengajuan bantuan.. Proposal permohonan bantuan dana pembangunan musholla al ikhlas yang beralamat di jalan . Proposal pembangunan masjid 2018 docx.Contoh proposal permohonan bantuan dana untuk kepentingan umum dan ibadah misalkan saja dalam hal pembanginan sekolah swasta pembangunan masjid musholla pengadaan buku dan masih banyak lagi Contoh cara membuat proposal pembanguna masjid yang baik dan benar yaitu meliputi halaman cover surat pengantar permohonan bantuan dana pembangunan masjid latar belakang tujuan visi dan misi yang tertuan dalam poin pendahuluan waktu dan tempat panitia pelaksana kegiatan rencana anggaran biaya rab dan penutup proposal. 07 desa jingkang dalam ... Pembangunan manusia secara keseluruhan yaitu pembangunan yang dapat ditinjau dari beberapa aspek diantaranya yaitu aspek sosial, fisik dan mental. Pembangunan fisik lebih terlihat oleh kasat mata dan dapat diukur. Pembangunan mental atau rohani susah untuk diukur karena bersifat kasat mata. Tapi perlu juga diimbangi antara pembangunan fisik dan mental atau jasmani dan rohani. Contoh pembangunan fisik yaitu gedung-gedung pencakar langit, kawasan industri yang bertujuan untuk mempercepat adanya laju perekonomian . dengan begitu terwujudlah ungkapan nyata dalam membangun mental spiritual. Mental tersebut berkaitan dengan hal-hal yang bersifat religius seperti hanya pembangunan sarana ada prasarana untuk mendukung kegiatan keagamaan. Untuk dapat menciptakan kuantitas dan kualitas dalam beribadah kepada Allah SWT ,maka diperlukan rehab fasilitas ibadah atau masjid. Adanya rehab atau perbaikan dari pembangunan masjid Nur Hasanah Karang Jahe tidak luput dari fungsinya. Adanya fasilitas yan...
Proposal pembangunan masjid 2018 docx.Contoh proposal permohonan bantuan dana untuk kepentingan umum dan ibadah misalkan saja dalam hal pembanginan sekolah swasta pembangunan masjid musholla pengadaan buku dan masih banyak lagi sebenarnya dalam hal tata penulisanya sama saja namun yang berbeda adalah isi dari propsal permohonan dan tujuan serta beberapa hal yang lain seperti lokasi. 6hnuhwduldw 0xvkrood $o.hf 1joxzdu 5(129$6, 086+2//$ $/ 0xnvlq 'xvxq 3orvrzhwdq .de 0djhodqj -dzd 7hqjdk +s 352326$/ 08.6,1 Proposal Permohonan Bantuan Dana. pembangunan masjid TAMIR MASJID AL ISTIQOMAH RT. 04 RW. 07 DESA JINGKANG KECAMATAN AJIBARANG KABUPATEN BANYUMAS. Alamat : Grumbul Manuksiung RT. 04 RW. 07 Desa Jingkang * … Contoh Proposal Pembangunan Masjid Yang Baik Dan Benar Edisi 2018 Reader View Pdf . Contoh Proposal Pembangunan Masjid 2 Lantai Berbagi Contoh Proposal . 33 Contoh Proposal Bantuan Dana Pembangunan Masjid Doc Info Dana Tunai . Proposal Renovasi Masjid Doc . Contoh Proposal Dana Untuk Pembangunan Masjid Lengkap Rincian Biaya Kosngosan
27-01-2022 · Contoh Proposal Bantuan Dana Pembangunan Masjid - Contoh Proposal Pengajuan Bantuan - Pembangunan masjid dan sarana ibadah lainnya. 11 Okt, 2021 Posting Komentar Kami pengurus dkm masjid jamiq baiturruhama desa labulia kecamatan jonggat kabupaten lombok tengah, dengan hormat mengajukan proposal permohonan bantuan dana . PROPOSAL PEMBANGUNAN MENARA MASJID JAMIUL ULUM DESA SAILONG I. PENDAHULUAN Kami berlindung dari godaan Syaitan yang terkutuk, Dengan menyebut Nama Allah yang Maha Pengasih lagi Maha Penyayang, Segala puji hanya milik Robb pengatur alam semesta dan isinya, Yang Maha Pengasih dan Yang Maha Penyayang terhadap hamba-hambanya, Dialah yang menguasai di hari penentuan, Hanya kepada-Nyalah kita ... Pada surat permohonan dana bantuan pembangunan masjid, di bawah ketua dan sekretaris harus ada tanda tangan kepala desa dan camat setempat agar proposal lebih ... Contoh surat permohonan bantuan dana dan proposal kegiatan hut ri doc proposal bantuan pembangunan masjid al insan m. Contoh proposal pembangunan mushola Continue. Contoh proposal pembangunan mushola lengkap 2019Sebelum membaca lebih lanjut sobat cakmaman jangan lupa baca basmalah dulu ya.
Download Proposal Permohonan Bantuan Dana Pembangunan Masjid.docx. Type: PDF. Date: December 2019. Size: 1.3MB. Author: kamarullah. This document was uploaded by user and they confirmed that they have the permission to share it. If you are author or own the copyright of this book, please report to us by using this DMCA report form. Report DMCA.
Contoh cara membuat proposal pembanguna masjid yang baik dan benar yaitu meliputi halaman cover surat pengantar permohonan bantuan dana pembangunan masjid latar belakang tujuan visi dan misi yang tertuan dalam poin pendahuluan waktu dan tempat panitia pelaksana kegiatan rencana anggaran biaya rab dan penutup proposal.
Proposal Permohonan Bantuan Dana pembangunan masjid TA’MIR MASJID “AL ISTIQOMAH” RT. 04 RW. 07 DESA JINGKANG KECAMATAN AJIBARANG KABUPATEN BANYUMAS Alamat : Grumbul Manuksiung RT. 04 RW. 07 Desa Jingkang * 53163 Nomor : 02/PPM/XI/2011 November 2011 Lamp : 1 (satu) bendel Hal : PERMOHONAN BANTUAN DANA PEMBANGUNAN MASJID AL ISTIQOMAH ...
1. Prposal permohonan bantuan. 2. Rencana anggran dan biaya. 3. Data pendukung lainnya. Demikian surat permohonan dana rehab masjid ini kami sampaikan, atas perhatiaannya kami ucapkan terimakasih, dan semoga Allah SWT membalas atas bantuan dan kebaikan Bapak/Ibu.
PROPOSAL BANTUAN PEMBANGUNAN MASJID AL-INSAN SMK INSAN MANDIRI BATAM Palem Raya Tanjung Sengkuang, Batu Ampar Batam Telp. 0778-7067179, HP : 081372998204 Assalaamu’alaikum Warahmatullahi Wabarakatuh A. PENDAHULUAN Alhamdulillah, segala puji hanyalah milik Allah SWT dan syukur senantiasa kita kepada Allah SWT atas segala limpahan rahmat, nikmat, taufik dan hidayahNya.
Contoh Proposal Bantuan Dana Pembangunan Rumah Pribadi Pdf - Cara Buat Proposal Langsung Jadi Permohonan Bantuan Youtube / contoh proposal bantuan dana pdf.contoh proposal pengajuan dana.. rumah quran stan wakaf rumah tahfidz rq stan proposal. Akhirnya dengan kerendahan hati, atas partisipasinya dan pemberian bantuan dana kami ucapkan terima kasih.
Contoh Proposal Bantuan Dana Pembangunan Masjid - Contoh Proposal Pengajuan Bantuan - Pembangunan masjid dan sarana ibadah lainnya. 11 Okt, 2021 Posting Komentar Kami pengurus dkm masjid jamiq baiturruhama desa labulia kecamatan jonggat kabupaten lombok tengah, dengan hormat mengajukan proposal permohonan bantuan dana .
Proposal pembangunan masjid 2018 docx.Contoh proposal permohonan bantuan dana untuk kepentingan umum dan ibadah misalkan saja dalam hal pembanginan sekolah swasta pembangunan masjid musholla pengadaan buku dan masih banyak lagi sebenarnya dalam hal tata penulisanya sama saja namun yang berbeda adalah isi dari propsal permohonan dan tujuan serta beberapa hal yang lain seperti lokasi.
Contoh Proposal Bantuan Dana Pembangunan Masjid - Contoh Proposal Pengajuan Bantuan - Pembangunan masjid dan sarana ibadah lainnya. 11 Okt, 2021 Posting Komentar Kami pengurus dkm masjid jamiq baiturruhama desa labulia kecamatan jonggat kabupaten lombok tengah, dengan hormat mengajukan proposal permohonan bantuan dana .
Proposal Permohonan Bantuan Dana pembangunan masjid TA’MIR MASJID “AL ISTIQOMAH” RT. 04 RW. 07 DESA JINGKANG KECAMATAN AJIBARANG KABUPATEN BANYUMAS Alamat : Grumbul Manuksiung RT. 04 RW. 07 Desa Jingkang 53163 Nomor : 02/PPM/XI/2011 Jingkang, 21 November 2011 Lamp : 1 (satu) bendel Hal : PERMOHONAN BANTUAN DANA PEMBANGUNAN MASJID AL ISTIQOMAH Kepada Yth: Gubernur Jawa Tengah Di SEMARANG ...
Apr 18, 2019 · Itulah yang dapat admin bagikan mengenai contoh proposal pembangunan masjid lengkap doc. Admin blog Berbagi Contoh Proposal 2019 juga mengumpulkan gambar-gambar lainnya terkait contoh proposal pembangunan masjid lengkap doc dibawah ini.
Contoh proposal bantuan untuk masjid 1. Contoh Proposal Bantuan Untuk Masjid MASJID “AL JARIYAH” Alamat : Tunggur RT 1 RW 7 Ds. Tunggur Kec. Slogohimo, Kab. Wonogiri Kode Pos 57694 Slogohimo, 1 Mei 2012 Lampiran : 1 (satu) berkas Hal …
Aug 06, 2019 · Contoh Proposal Pengajuan Dana Pembangunan Masjid Oleh Hari Aspriyono 06 Agu, 2019 43 komentar Masjid adalah salah satu tempat ibadah umat islam yang diwariskan oleh para ulama kepada kita, karena masjid bukan hanya untuk ibadah saja melainkan untuk berkumpulnya umat Islam dalam memecahkan masalah atau untuk bermusyawarah dalam mengambil keputusan.
Download Contoh Proposal Pembangunan Masjid Terbaru Dengan Format Doc, Docx dan PDF. Download Contoh Proposal Pembangunan Masjid - Ketika hendak mencari dana bantuan untuk pembangunan masjid, terkadang kita merasa kebingungan untuk mencari contoh surat keterangan maupun proposal yang baik dan benar untuk pembangunan masjid.
10% 10% found this document not useful, Mark this document as not useful. ... Contoh Proposal Bantuan Dana Pembangunan Majlis Ta'Lim. Uploaded by. Alan Hadian. Contoh Proposal Pembangunan Masjid (Permohonan Dana) _ TEORI PENDIDIKAN. Uploaded by. Anonymous Wv5fwkaa5y. Contoh SK Panitia Pembangunan Masjid - Word - MPFdocuments …
Proposal pembangunan masjid itu nantinya akan disebarkan kepada seluruh donatur, bahkan bisa juga diserahkan untuk pemerintah. Sebab dana pemerintah akan lebih mujur dan besar. Cara membuat proposal pembangunan masjid. Membuat sebuah proposal tentunya sangat mudah, anda bisa meniru contoh proposal bantuan dana pembangunan masjid yang sudah ada ...
Inilah pembahasan selengkapnya mengenai contoh proposal bantuan dana pembangunan masjid download. Admin blog Contoh Soal Terbaru 01 January 2019 juga mengumpulkan gambar-gambar lainnya terkait contoh proposal bantuan dana pembangunan masjid download dibawah ini.
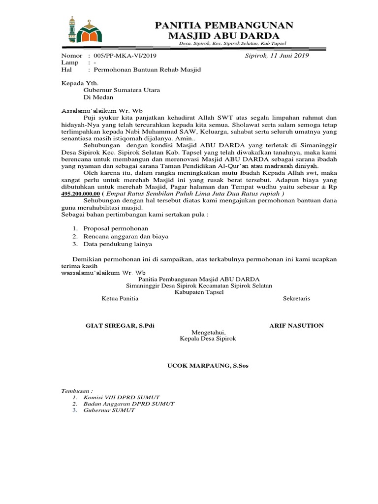
PANITIA PEMBANGUNAN MASJID MIFTAHUL KHAER Dsn. Alekarajae Desa Padanglampe Kec Ma’rang Kab Pangkep Nomor : 005/PP-MKA-VI/2015 Padanglampe, 11 Juni 2015 Lamp : - Hal : Permohonan Bantuan Rehab Masjid Kepada Yth. Kementerian Agama RI Di Jakarta Assalamu’alaikum Wr.
Download Proposal Bantuan Dana Pembangunan Masjid PDF (14.00 MB) - SamPDF Unduh Proposal Bantuan Dana Pembangunan Masjid PDF secara gratis di SamPDF. Detail Proposal Bantuan Dana Pembangunan Masjid PDF dapat kamu nikmati dengan cara klik link download dibawah dengan mudah tanpa iklan yang mengganggu.
4 Contoh Surat Permohonan Bantuan Yang Baik Dan Benar. Contoh Surat Permohonan Bantuan Dana Pembangunan Gapura. Contoh Proposal Bantuan Untuk Masjid. Contoh Proposal Proyek Dan Cara Membuatnya Lengkap Dan Rinci. Contoh Proposal Pembangunan Atau Renovasi Masjid Masgie. Contoh Proposal Renovasi Masjid Al Muhtadin Muda Mudi.
Besarnya dana yang dibutuhkan dalam membangun masjid Badrus-salam adalah kurang lebih sebesar Rp. 300.000.000,00 (Tiga Ratus Juta Rupiah), dengan dana yang cukup besar tersebut maka kami ajukan permohonan bantuan dana guna membangun masjid. Sebagai bahan pertimbangan kami juga menyertakan antara lain: Proposal permohonan bantuan.
Contoh Surat Permohonan Bantuan Dana Pembangunan Masjid Doc Document. Proposal permohonan bantuan pembangunan masjid babussalam disusun oleh: panitia pembangunan masjid babussalam dukuh sikucing desa banyumudal kecamatan moga kabupaten pemalang jawa tengah panitia pembangunan masjid babussalam akta notaris no. 62 tanggal 3 maret 2016 dukuh sikucing desa banyumudal kecamatan moga kab.
PROPOSAL PEMBANGUNAN TERAS MASJID MASJID MUNIROH ABDULLAH AR-RUKBAN RW 05 KEL. SUKMAJAYA KOTA DEPOK Nomor : 004/P/DKM-MABRUK/II/2015 Depok, 20 Pebruari 2015 Lampiran : 1 (satu) berkas Perihal : Permohonan Bantuan Dana Kepada Yang Kami Hormati Bapak/Ibu/Donatur _____ Di Tempat Assalamu'alaikum warahmatullahi wa barakatuh.
Itulah yang dapat kami bagikan terkait contoh surat permohonan bantuan dana pembangunan masjid doc. Admin blog Contoh Soal Terbaru 01 January 2019 juga mengumpulkan gambar-gambar lainnya terkait contoh surat permohonan bantuan dana pembangunan masjid doc dibawah ini.
Itulah yang dapat admin bagikan mengenai contoh proposal bantuan dana pembangunan kubah masjid. Admin blog Berbagi Contoh Proposal 2019 juga mengumpulkan gambar-gambar lainnya terkait contoh proposal bantuan dana pembangunan kubah masjid dibawah ini.
Adapun biaya yang dibutuhkan untuk Pembangunan Masjid yaitu sebesar ± Rp 1.055.734.000.00,- (Satu milyard Lima puluh lima juta Tujuh ratus tiga puluh empat ribu rupiah ), sementara dana dari masyarakat yang telah terkumpul adalah sebesar Rp 150.378.000.00,- (Seratus lima puluh juta Tiga ratus tujuh puluh delapan ribu rupiah ),
0 Response to "43 contoh proposal bantuan dana pembangunan masjid doc"
Post a Comment